데분데싸
홈
강화학습
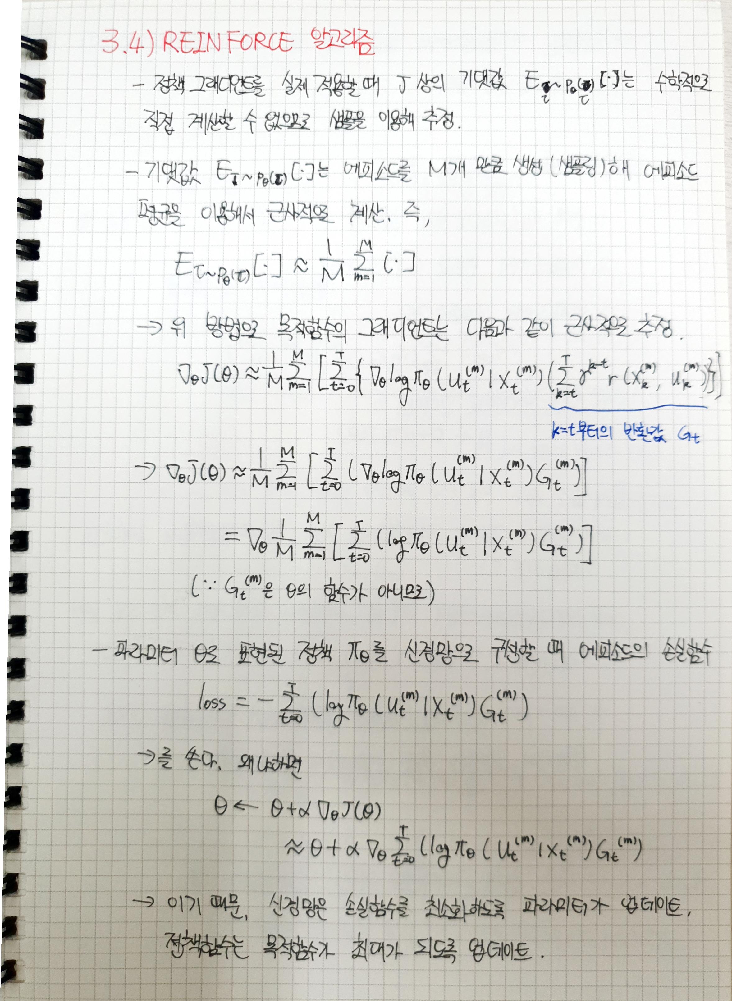
손으로 쓰는 강화학습(Reinforcement Learning) - (6) 정책경사(Gradient Policy, REINFORCE 알고리즘)
H_erb Salt
2020. 10. 8. 14:00
공유하기
게시글 관리
데분데싸
'
강화학습
' 카테고리의 다른 글
MC(Monte Carlo)/TD(temporal difference) Control 구현
(0)
2023.01.19
MC(Monte Carlo)/TD(temporal difference) Prediction 구현
(0)
2023.01.19
손으로 쓰는 강화학습(Reinforcement Learning) - (5) Monte-Carlo 최적 정책, GLIE, e-greedy policy
(0)
2020.09.07
손으로 쓰는 강화학습(Reinforcement Learning) - (4) Monte-Carlo, Temporal-Difference
(0)
2020.09.07
손으로 쓰는 강화학습(Reinforcement Learning) - (3) DP(Dynamic Programming)
(0)
2020.08.31
티스토리툴바
데분데싸
구독하기